| Name | Last modified | Size | Description | |
|---|---|---|---|---|
| Parent Directory | - | |||
| 三圓求陰影面積.jpg | 2024-10-24 16:32 | 93K | ||
| 兩邊兩底角.png | 2025-02-02 08:18 | 54K | ||
| 因式分解a五方加a四方加1.txt | 2024-10-24 16:32 | 43 | ||
| 圓內四個方形求面積.jpg | 2024-10-24 16:32 | 65K | ||
| 已知三邊求頂角.jpg | 2025-02-02 08:30 | 65K | ||
| 方內圓用邊角矩形求半徑.jpg | 2025-02-01 09:32 | 46K | ||
| 方內圓用邊角矩形求半徑.png | 2025-02-01 09:34 | 182K | ||
| 用圓內四邊形求半徑.jpg | 2025-02-02 08:35 | 161K | ||
| 直角三角兩邊生正方形求陰影面積.jpg | 2025-02-02 08:42 | 146K | ||
| 矩形內半圓1.jpg | 2024-11-13 04:54 | 49K | ||
| 矩形內半圓2.jpg | 2024-11-13 06:31 | 63K | ||
| 部分角部分邊1.jpg | 2024-11-13 06:51 | 53K | ||
| 部分角部分邊2.jpg | 2024-11-13 06:51 | 68K | ||
| 30_45_75度角.jpg | 2024-10-24 16:32 | 58K | ||
| 75度三角形求面積.jpg | 2024-10-24 16:32 | 56K | ||
| readme.htm | 2025-01-28 18:34 | 1.4K | ||
| tan_2a.png | 2025-02-01 23:26 | 56K | ||
| value-15°-to-75°.png | 2025-02-01 20:47 | 52K | ||
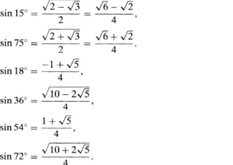
| value-18°-to-72°-sin-cos.png | 2025-02-02 07:16 | 332K | ||
| value-18°-to-72°.png | 2025-02-01 20:59 | 181K | ||
| values-of-sin-18-cos-18-sin-36-cos-36-sin-54-cos-54.png | 2025-02-01 18:03 | 3.9K | ||